Как настроить зубодолбёжный станок? (Страница 2)
К примеру, при долблении наружного зуба долбяк должен откидываться по направлению от центра детали, а при долблении с той же стороны детали внутреннего зуба откидка должна срабатывать в сторону центра детали (см. рис.1). На многих станках чтобы поменять направление откидки нужно переустановить специальный кулачок (расположен с боковой стороны станка) на соседний вал. На станке модели 5122 откидка всегда работает только в одну сторону и поэтому долбление внутренних зубьев выполняется на диаметрально противоположной стороне детали (см. рис.1).

Установка величины хода и положения долбяка относительно заготовки выполняется в определенной последовательности. Сначала долбяк подводят к поверхности заготовки зажатой на столе. Затем поворачивая квадрат, опускают инструмент в нижнее положение. С боковой стороны станка расположен механизм регулировки хода долбяка. В этом механизме отпускают фиксирующую гайку, и поворачивают регулировочный палец кривошипного вала, тем самым устанавливая необходимую величину хода долбяка L. Проверяют величину хода по шкале и после её установки зажимают фиксирующую гайку.

Для установки положения инструмента относительно заготовки отпускают все зажимные гайки и поворачивают регулировочный винт, тем самым устанавливая инструмент ниже торца заготовки. Пример. На станке 5122 механизм регулировки хода долбяка расположен с левой стороны (под крышкой). Квадратом 1 отпускаем фиксирующий клин и, вращая квадрат 2 производим перемещение эксцентричного пальца, тем самым регулируя величину хода (см. рис.2(слева)). После установки требуемой длины хода вращаем квадрат 1 и надежно фиксируем положение эксцентричного пальца. Механизм установки положения инструмента находиться под передней крышкой суппорта (см. рис.2 (справа)). Открываем переднюю крышку суппорта, отпускаем зажимные гайки и, поворачивая квадрат 3, опускаем инструмент на величину перебега ниже торца заготовки.
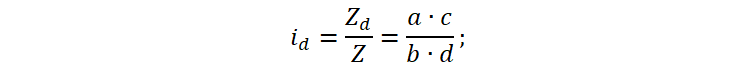
Настройка гитар деления и круговых подач выполняется по расчетным формулам, указанным в паспорте станка. Сменные шестерни гитары деления всех зубодолбежных станков определяются по следующему выражению:
где Zd – число зубьев долбяка; Z – число зубьев обрабатываемой детали; a и с – числа зубьев ведущих шестерён гитары деления; b и d – числа зубьев ведомых шестерён гитары деления.
Настройка гитары круговых подач зубодолбежных станков рассчитывается по общей формуле:
где Скп – постоянная цепи круговых подач, Sкр – круговая подача (мм/дв. ход), d0 – делительный диаметр долбяка, e,f – сменные шестерни гитары круговых подач.